Home
Sunday, Order of Service
Youth
Scripture of the Week
About
Next Steps
WinGs - Feeding the Homeless
Missions Committee
Mark Your Calendar
Quick Glance - Happening at Friendship
Connect
Resources
Give
Back
I'm New
Mission & Values
Staff
Ministries
Contact Us
Back
Friendship Kids
Women's Ministry
Senior Adults
Connection Card
Back
Sermon Archive
Grief Support
Newsletter
Event Calendar
FBC Food Pantry
Home
Sunday, Order of Service
Youth
Scripture of the Week
About
I'm New
Mission & Values
Staff
Ministries
Contact Us
Next Steps
WinGs - Feeding the Homeless
Missions Committee
Mark Your Calendar
Quick Glance - Happening at Friendship
Connect
Friendship Kids
Women's Ministry
Senior Adults
Connection Card
Resources
Sermon Archive
Grief Support
Newsletter
Event Calendar
FBC Food Pantry
Give
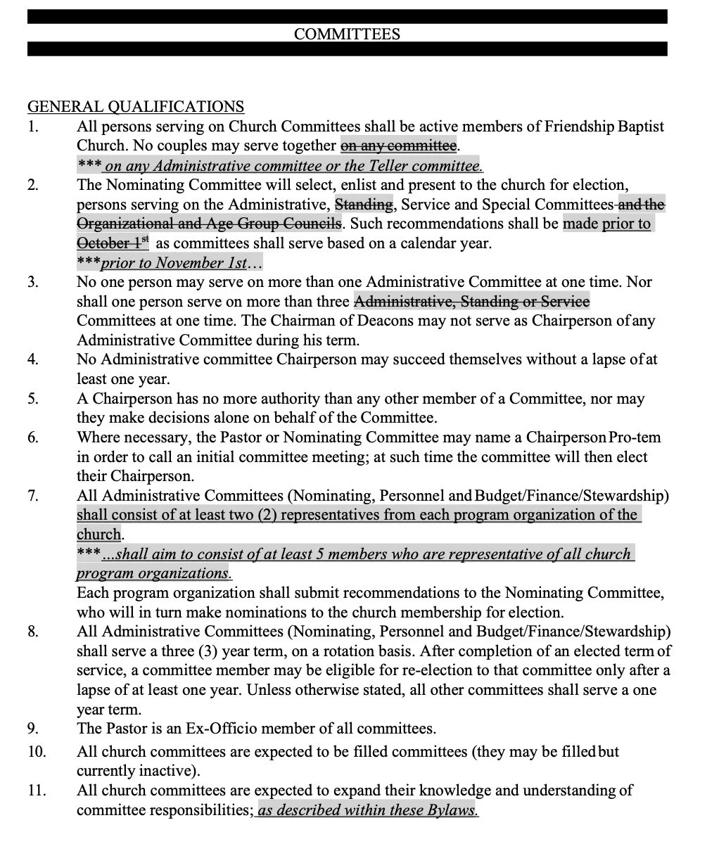
Constitution and Bylaws Updates